SYBIL CREEK RESTORATION
Baseline Data and
Habitat Assessment
Prior to Restoration


COVER PAGE

FOREWORD & ACKNOWLEDGMENT

INTRODUCTION
Sybil Creek Baseline
Sampling Report

Map of Study Site
Marsh Restoration
Historic Background
Purpose & Goals
Site Conditions

BASELINE SAMPLING RESULTS
Transect Location Map
Hydrology
Nutrients
Vegetation
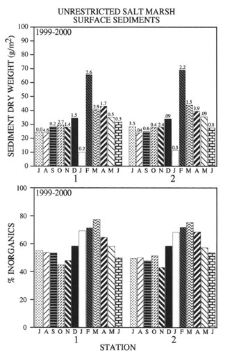
Surface Sediments
Peat Bulk Densities
Palynology
Birds
Mammals
Amphibians & Reptiles
Fish

LITERATURE CITED

PHOTOS
Photo Location Map



This study was funded by a grant to the Branford Land Trust by the Long Island Sound License Plate Fund.



< Back to BLT Main Site

 

Surface Sediments
Two sampling stations were established along each transect within five meters of each other. All sampling stations were situated about half way between the main channel and the upper border and were placed about a meter from the edge of a mosquito control ditch within a salt meadow cordgrass dominated community. At each station, the vegetation was clipped to the surface and a hard plastic liner was inserted even with the marsh surface and secured with bent metal rods. These plastic liners (30 cm diameter) were necessary to protect the collection plates from being eaten and having fiddler crabs (Uca sp) throw burrow material onto the collection plates themselves (our first attempt to collect material (March 1999) was unsuccessful because the crabs snacked on the fiberglass filter papers. The second attempt (April 1999) also failed because the crabs not only threw burrow material onto the plates, but also started eating the plastic collection plates as well). The surface collection plates (12 cm diameter plastic jar grips) were placed on the plastic liners and secured with metal rods for three days prior to and three days after the new or full moon (Spring Tides) monthly for twelve months.

The collection plates were collected in the field and brought back to the lab where they were rinsed with distilled water (remove salts) and filtered onto previously weighed fiberglass filter paper. The filters were dried at 80 oC for 24 hrs, weighed, ashed in a muffle furnace at 600 oC for four hours and reweighed. The results of this analysis is shown in Fig. 8 Ashing was not done on sediment plates collected in the retricted marsh because the amounts of sediments recovered was too small for the analysis. Each data set represents the total net accumulation over an entire week (deposition and removal) and includes both suspended loads and fecal pellets deposited by snails (Melampus bidentatus). Material thrown up by the fiddler crabs could not reach the collection plates directly, although it is possible that some of the material was reworked by subsequent tides and became included in the plate material collected and analyzed. Although fiddlers were not a problem above the gates, the plastic liners were used to maintain sample integrity.


Figure 8. Surface sediments monthly between July 1999 and June 2000. Stations #1 & #2 are located either side of Transect #1 and Stations #3 and #4 are located along Transect #3 and #4, respectively. Standard deviation is listed above each bar on the graph. The amount of sediment collected in the restricted marsh was too low to be included in the ash analysis. The January sample was taken while the marsh surface was frozen solid for two weeks and the February sample was taken after a late winter thaw. All samples represent total sediment accumulation over a one week period centered around the new moon.

 

 

   
< Back